
数学
79关注 | 6244内容
葛军在网上抛出了一道数学题
3月14日,著名高考命题专家葛军在哔哩哔哩上发布视频,并在视频中给出了一道数学题让大家讨论。欢迎会写的ACer把答案和解题思路发在评论区中~

著名数学天才,陶哲轩的儿子变性了
A站陶哲轩相关视频:AC4841701AC47936585
让我康康Acer的实力260210
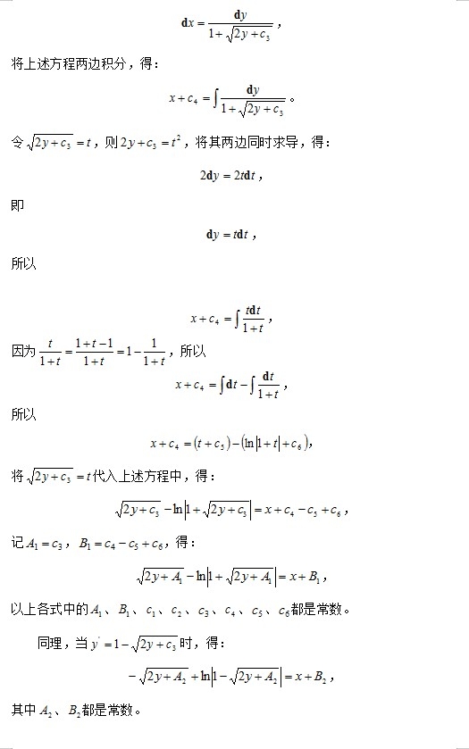
源:ac48261242,个人难易度2/5





让我康康Acer的实力260109
求所有满足存在与其数字打乱后得到的另一个三位数之比恰好等于其某两位之比的三位正整数遍历的请给出编程语言以及代码
数学禁术

164次播放 | 00:23笛卡尔心形曲线

371次播放 | 00:18


















“我们的感情好像数学题”

2.6万次播放 | 01:26








正在加载



